Creation, innovation and Entrepreneurship
近日,国际顶级期刊Angewandte Chemie International Edition在线发表了巴卡漫画 曹顺安教授、陈重学副教授课题组的最新研究成果。论文题目为“Understanding and Calibration of Charge Storage Mechanism in Cyclic Voltammetry Curves”,审稿人对该工作给予了“Very Important (top 5%)”的评价。巴卡漫画 2021届博士生蒲想俊为第一作者,曹顺安教授、陈重学副教授以及化学学院曹余良教授为共同通讯作者。
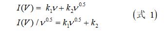
赝电容作为连接传统摇椅式电池和双电层电容器二者间的桥梁,可以在一定程度上弥合高能量密度与高功率密度之间的相悖性,因而受到研究者的广泛关注。目前几乎所有文献在循环伏安(CV)曲线中均采用式1求解赝电容的贡献:

然而,该方法在应用时存在诸多模糊不清甚至误解之处,主要原因包括:(1)未考虑欧姆极化引起的过电位对电压偏移的影响;(2)未修正扫描方向反转时的残余电流;这两个原因经常导致拟合曲线与实验曲线中的氧化还原峰存在偏差,甚至出现拟合值超出实验值的假象;(3)双电层电容电流未从赝电容电流中分离出,导致计算所得的赝电容偏大。事实上,式1中的电容电流
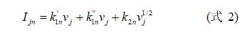
包含双电层电容电流
和赝电容电流
两项(式2),二者最显著的区别在于系数项:
与电位无关;而
在每个电位下都有不同的取值。此外,使用上式计算时,在每个电位处与赝电容和扩散相关的系数需通过反复线性拟合才能得到,数学处理方法繁琐、低效且易出错。
论文从基础电化学原理的角度出发,提出对实验测得的CV曲线进行三步修正(去极化电压、去残余电流、去背景电流);同时通过改良的数据处理算法,实现非线性的数据拟合,从而更加准确、快速地求解出不同电荷存储机制(物理双电层、赝电容和扩散容量)对电极总容量的贡献。

文章选取了三种典型的碱金属离子电池电极材料(LiFePO4、LiMn2O4和Na4Fe3(PO4)2P2O7)为研究对象,涵盖单峰和多峰、单相和多相反应过程、低和高扫描速率等多种变量。主要结论有:(1)通过对电压进行欧姆修正,可以有效去除每个采集点处的极化;(2)通过去除残余电流,可以获得对扫描速率唯一响应的氧化和还原电流,从而使得拟合的扩散峰和实验所测的氧化还原峰出现在同一个电位下,即二者之间没有偏差;且在较宽电压范围内,即使在电流较小的端电压处,也能获得满意的相关系数;(3)将式1改写为式2:

可以分离出物理双电层电容,并利用计算得到理论值,佐证结果的正确性;(4)提出利用矩阵处理的非线性拟合方法,将所有电压下的数据矩阵化处理,通过求解系数矩阵,便可获得与赝电容和扩散相关的所有系数。

原文链接:
//doi.org/10.1002/anie.202104167